新祥旭考研官网欢迎您!


华北电力大学考研辅导班:2020华北电力大学会计学、企业管理、技术经济及管理硕士拟录取名单

新祥旭罗老师13701149740 / 2020-06-10

 拟录取名单

点击添加图片描述(最多60个字)编辑

 

点击添加图片描述(最多60个字)编辑

总结

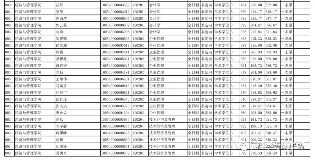
2020华北电力大学经济与管理学院

会计学一志愿统考拟录取5人,最低分356,最高分404

企业管理一志愿统考拟录取12人,最低分346,最高分398

技术经济及管理一志愿统考拟录取29人,最低分345,最高分427

想了解更多可关注管理学考研联盟公众号。

考研高分咨询新祥旭罗老师

电话/微信:13701149740

咨询QQ:3219057729

全方位权威辅导,考研复试效率高

面授一对一
在线一对一
魔鬼集训营
咨询课程 预约登记

以效果为导向    以录取为目标

添加微信咨询考研问题
北清考研定制 985考研定制 211考研定制 学硕考研定制 专硕考研定制 北京考研私塾
x