新祥旭考研官网欢迎您!


人大考研辅导班:2020中国人民大学商学院会计硕士MPAcc拟录取名单

新祥旭罗老师13701149740 / 2020-06-24

 拟录取名单

点击添加图片描述(最多60个字)编辑

总结

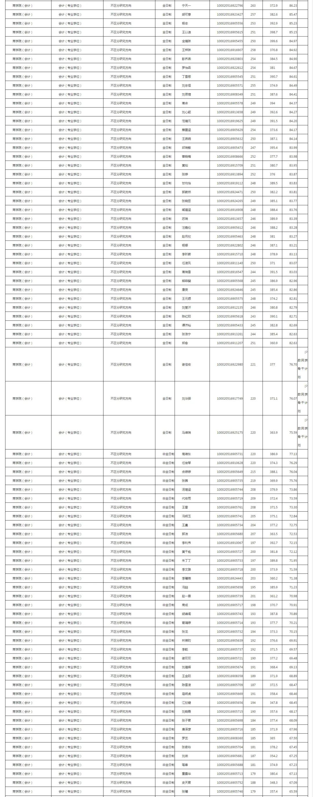
2020中国人民大学商学院

会计硕士MPAcc全日制拟录取42人,含少干3人,最低分243,最高分263

会计硕士MPAcc非全日制拟录取39人,最低分179,最高分220

考研高分咨询新祥旭罗老师

电话/微信:13701149740

咨询QQ:3219057729

全方位权威辅导,考研复试效率高

面授一对一
在线一对一
魔鬼集训营
咨询课程 预约登记

以效果为导向    以录取为目标

添加微信咨询考研问题
北清考研定制 985考研定制 211考研定制 学硕考研定制 专硕考研定制 北京考研私塾
x