新祥旭考研官网欢迎您!


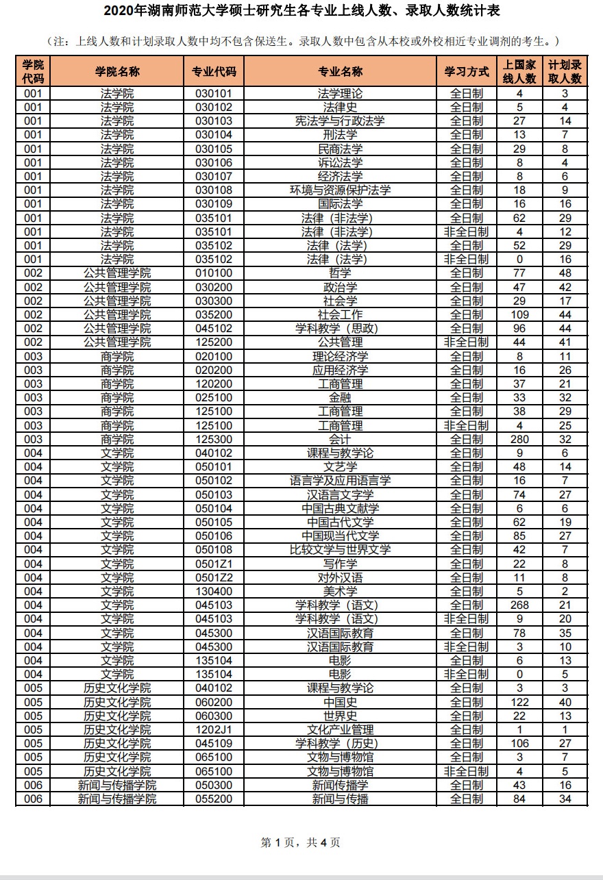
湖南师范大学考研报录比:2020年湖南师范大学硕士研究生各专业上线人数、录取人数统计表

新祥旭罗老师13701149740 / 2021-07-03

 (注:上线人数和计划录取人数中均不包含保送生。录取人数中包含从本校或外校相近专业调剂的考生。)

考研高分咨询新祥旭罗老师

电话/微信:13701149740

咨询QQ:3219057729

全方位权威辅导,考研复试效率高

面授一对一
在线一对一
魔鬼集训营
咨询课程 预约登记

以效果为导向    以录取为目标

添加微信咨询考研问题
北清考研定制 985考研定制 211考研定制 学硕考研定制 专硕考研定制 北京考研私塾
x