一、招生计划与复试比例
我院共有微生物学专业招生计划9个,生物化学与分子生物学专业招生计划1个,生物与医药专业学位招生计划42个。按照本年度达到学校基本分数线的考生人数和成绩分布情况,我院微生物学专业、生物化学与分子生物学专业、生物与医药专业按照复试差额比例(复试上线生人数与招生计划的比例)1.5:1进行复试。
注:退役大学生士兵专项计划考生进入复试的初试成绩基本要求与学校要求相同,相关名额不包含在上述计划内。
二、复试安排
(一) 笔试
笔试满分100分,笔试全程录音录像。
报考微生物学、生物与医药专业考试科目:微生物学;
报考生物化学与分子生物学专业考试科目:分子生物学。
微生物学参考书目:
《微生物学》,沈萍、陈向东主编,高等教育出版社2016年版;
《微生物学教程》,周德庆编,高等教育出版社2002年版;
《微生物学学习指导与习题解析》,肖敏、沈萍主编,高等教育出版社2011年版。
分子生物学参考书目:
《现代分子生物学》第四版 高等教育出版社,朱玉贤编
(二) 面试
面试满分100分,主要对考生的基本科研素质、学科相关知识、实验技能知识、外语听力与口语、分析问题的能力和反应灵敏性等进行综合考查。考生需在规定的时间内完成作答,面试全程录音录像。
面试内容包括:
1. 英语(合计10分)
(1) 听力(5分)
(2) 口语(5分)
2. 综合知识考核(合计90分)
(1) 考生对专业基本知识的掌握情况(20分)
(2) 考生对专业实验技能的掌握及独立开展科学研究工作的能力(40分)
(3) 考生对报考专业学科发展的了解(30分)
3. 心理测试
参与复试考生需线上参加心理测试,具体操作细则另行通知。
三、拟录取排名方法
复试总成绩=笔试成绩×40%+面试成绩×60%
复试总成绩为百分制。对复试总成绩不合格(低于60分)者,不予录取。
录取成绩=初试成绩÷5×50%+复试总成绩×50%
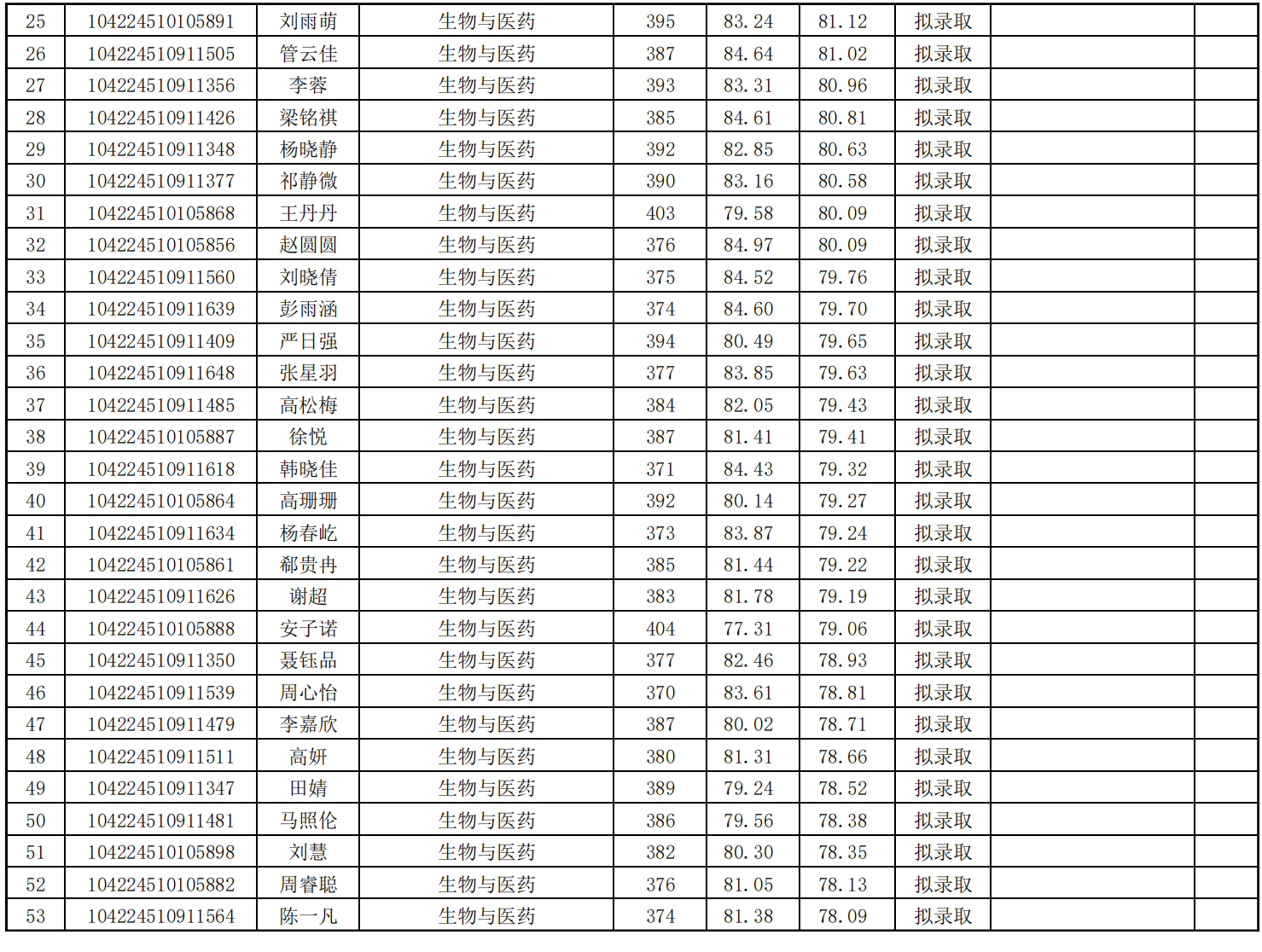
四、拟录取名单



新祥旭提示: 已经有很多的2025考生在搜集院校和专业的信息,向学姐学长求经验,考研人进入考研备考啦,其他还在摇摆不定的小伙伴们,你们犹豫一天,就少了一天准备的时间。如果做好考研的决定了就要快快行动哦,新祥旭带大家高效备考,圆梦名校!!! - END -
如果你对考研有任何疑问 或想咨询报名辅导课程 请联系我们 ↓↓↓


















