一、招生计划


二、各专业复试具体要求如下:
1、081200计算机科学与技术、0812Z1网络空间安全与保密、085404计算机技术(含01方向、02产教融合方向、03三亚产教融合方向、04万里学院联合培养计划)、085405软件工程、085410人工智能、085411大数据技术与工程、085412网络与信息安全、095136农业工程与信息技术。
(1)除农业工程与信息技术专业外,均需要进行上机考试。
(2)外语听说测试考察考生的英语听力、口语表达能力和综合运用能力。
(3)综合素质考核包括三部分:①考生自述部分,考生结合自己本科的经历以及所参与的具体设计项目准备PPT口头汇报4分钟以内,内容可涉及获奖情况、参与项目实现过程、核心算法、程序代码以及自己的贡献等。②专业问答部分,考生针对专业抽题进行作答,考核考生的专业理论知识能力。③综合问答部分,考生针对面试专家老师的综合素质提问进行作答,考核涉及考生的思想政治素质、专业素质、创新精神和创新能力、对报考专业发展动态了解以及未来科研潜力的考核等。
2、081000信息与通信工程、085401新一代电子信息技术(含量子技术等)(含01方向、02产教融合方向)、085402通信工程(含宽带网络、移动通信等)。
(1)每位考生须准备5分钟PPT自我陈述,可包括但不限于如下内容:①核心课程成绩;②大学期间参加的主要创新活动或项目经历;③英语、软件使用等个人基本技能;④其他方面的个人亮点等。
(2)外国语听力与口语测试:考察考生的英语听力、口语表达能力和综合运用能力。
(3)综合素质考核:必答题部分,主要考察考生对相关课程基础知识点和应用技能的掌握程度,以及分析、解决问题的能力,采用从题库随机抽题的形式,考生口头回答;专家提问部分,主要考察并评价考生专业知识、专业素养和实践(实验)能力、人文素养和社会实践等方面。综合素质考核涉及考生的思想政治素质、专业素质、创新精神和创新能力、对报考专业发展动态了解,以及未来科研工程潜力等。
3、070200物理学、080300光学工程、085408光电信息工程(01方向)。
(1)外国语听力与口语测试:考生进行英文自我介绍,复试专家进行英文提问和交流,测试时间约为3分钟。
(2)综合素质考核:①考察考生对相关课程的基础知识点和应用技能的掌握程度,以及分析和解决问题的能力。采用从题库随机抽题的形式,考生口头回答,考核内容参考《中国海洋大学2024年硕士研究生招生考试大纲复试部分》。②考核考生的思想政治素质、专业素质、创新精神和创新能力、对报考专业发展动态了解以及未来科研潜力等。考生结合自己本科阶段的学业成绩、参与竞赛或科研项目情况、获得荣誉和奖励等内容准备PPT或口头汇报(不超过3分钟)。复试专家根据考生汇报情况进行提问。
4、070503地图学与地理信息系统、070206声学、0812J1海洋技术、085401新一代电子信息技术(含量子技术等)(03方向三亚海洋研究院计划)、085407仪器仪表工程(含01方向、02产教融合方向)、085704测绘工程
(2)外国语听力与口语测试包括:①英文自我介绍②英文交流能力(2)综合素质考核:①考核考生对相关课程基础知识点及知识应用技能的掌握程度,以及分析和解决问题的能力。考核内容参考《中国海洋大学2024年硕士研究生招生考试大纲复试部分》,采用从题库随机抽题的方式,由考生进行口头回答。②考核考生的思想政治素质、专业素质、创新精神和创新能力、对报考专业发展动态了解以及未来科研潜力等。考生结合自己本科阶段的学业成绩、参与竞赛或科研项目情况、获得荣誉和奖励等内容准备PPT或口头汇报(不超过3分钟),复试专家根据考生汇报情况进行提问。
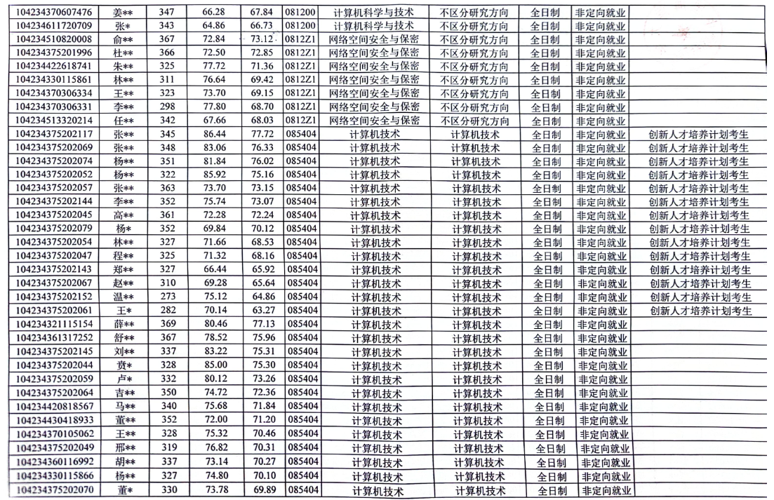
三、复试成绩及名单










新祥旭提示:
已经有很多的2025考生在搜集院校和专业的信息,向学姐学长求经验,考研人进入考研备考啦,其他还在摇摆不定的小伙伴们,你们犹豫一天,就少了一天准备的时间。如果做好考研的决定了就要快快行动哦,新祥旭带大家高效备考,圆梦名校!!!
- END -
如果你对考研有任何疑问
或想咨询报名辅导课程
请联系我们
↓↓↓


















