本文将由新祥旭考研钟老师对2019北京大学风景园林专业考研进行解析,20考研可以参考。主要有以下几个板块:北京大学,招生人数,考研科目介绍,考研参考书目,近几年复试分数线,注意事项及北京大学风景园林考研经验等几大方面。更多内容可以添加钟老师微信:17710583059
一、北京大学
北京大学,简称北大,诞生于1898年,初名京师大学堂,是中国近代第一所国立大学,也是最早以“大学”身份及名称而建立的学校,其成立标志着中国近代高等教育的开端。北大是中国近代以来唯一以国家最高学府身份创立的学校,最初也是国家最高教育行政机关,行使教育部职能,统管全国教育。北京大学由教育部直属,系国家“211工程”、“985工程”、“2011计划”建设的全国重点大学,是C9联盟以及东亚研究型大学协会、国际研究型大学联盟、环太平洋大学联盟、21世纪学术联盟、东亚四大学论坛的重要成员。QS2018/2019年亚洲大学排行榜北京大学排第五名。
二、2019招生人数、研究方向及考试科目:
建筑与景观设计学院
风景园林硕士(095300)
计划招生数全日制20人,非全日制30人,拟接收推免人数全日制 5人
本专业计划招收全日制风景园林硕士研究生20名,非全日制风景园林硕士研究生30名。报考非全日制风景园林硕士的考生须有两年及以上实际从事规划设计或者行业管理工作经验。
本专业考研情况介绍:2019年报考人数大约为210人左右(全日+非全),复试线以专硕线进行复试,初试排名在复试中会有很大变动,复试也很重要。
本专业考研考试特点:题目设置适中,但得高分难,复习过程需要很强的逻辑思维和很大的毅力。
00. 不区分研究方向 全日制
考试科目:
① 101 思想政治理论
② 204 英语二
③ 344 风景园林基础(包括生态学基础、综合自然 地理,景观设计学理论与方法基础)
④ 850 专业综合2(城市规划基础)(包括城市规划原理、城市地理) 或 941 专业综合1(建筑设计与城市设计基础)(包括建筑设计基础,城市设计基础)
00. 不区分研究方向 非全日制
考试科目:
① 101 思想政治理论
② 204 英语二
③ 344 风景园林基础(包括生态学基础、综合自然 地理,景观设计学理论与方法基础)
④ 850 专业综合2(城市规划基础)(包括城市规 划原理、城市地理) 或 941 专业综合1(建筑设计与城市设计基础)(包括建筑设计基础,城市设计基础)
三、参考书目:
344风景园林基础:
《城市景观之路》 俞孔坚、李迪华 中国建筑工业出版社;
《景观设计:专业学科与教育》俞孔坚、李迪华 中国建筑工业出版社;
《设计结合自然(译)》 麦克哈格 中国建筑工业出版社;
《城市生态学》 宋永昌等主编 华东师范大学出版社;
《自然地理学》 伍光和等著 高等教育出版社;
《地理环境概述》 胡兆量 科学出版社
《“反”规划途经》俞孔坚、李迪华等 中国建筑工业出版社;
《生存的艺术》俞孔坚中国建筑工业出版社;
《生态学》李博高等教育出版社;
《景观·文化生态与感知》俞孔坚中国科学出版社;
《新祥旭北大风景园林高分通关宝典》。
942专业综合1(建筑设计与城市设计基础):
《建筑设计初步》王崇杰编中国建筑工业出版社2002;
《中国建筑史》潘谷西中国建筑工业出版社;
《外国近现代建筑史》罗小未中国建筑工业出版社;
《城市发展史》(译)芒福德中国建筑工业出版社;
《建筑设计基础》罗文媛编清华大学出版社2005;
《城市设计》王建国中国建筑工业出版社/东南大学出版社;
《城市设计》培根中国建筑工业出版社。
850专业综合2(城市规划基础):
《城市地理学》 周一星 商务印书馆;
《城市规划原理》 吴志强 中国建筑工业出版社。
四、北京大学风景园林考研近四年复试分数线:
|
年份 |
专业 |
政治 |
英语 |
业务课一 |
业务科二 |
总分 |
|
2019 |
风景园林 |
55 |
55 |
90 |
90 |
320 |
|
2018 |
风景园林 |
50 |
50 |
90 |
90 |
330 |
|
2017 |
风景园林 |
45 |
45 |
90 |
90 |
300 |
|
2016 |
风景园林 |
50 |
50 |
90 |
90 |
335 |
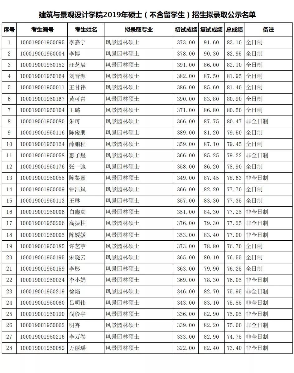
五、2019年北京大学风景园林专业研究生入学考试拟录取名单:
六、注意事项:
住宿安排
1.我校实行住宿申请制,住宿费用自理。
2.校本部招收的以下类型研究生有资格申请学校住宿:
1)人事档案转入我校的全日制学术型研究生;
2)“强军计划”、“少数民族高层次骨干人才计划”等专项计划全日制学术型研究生。
学校鼓励有条件的同学申请不住宿。宿舍园区包括燕园、万柳公寓等。住宿期限以培养方案规定的基本学习年限为准。
3.除2条所列两类研究生外,其他类型的研究生,包括专业学位研究生、非全日制研究生、人事档案不转入我校的研究生、已明确由院系安排或协助安排住宿的研究生等,学校不安排住宿。
七、北京大学风景园林考研经验:
1.提前准备好专业相关的十几本书,最好在暑假之前,自己先大致浏览一遍,掌握专业老师的学术思想和方向;在暑假期间精读每一本书,边读边做笔记,重点名词概念要熟记,要对每一本书的论述结构非常熟悉,能够概述出来每一本书讲的大致内容。
2.九月份之后可以开始做历年真题,最好近十年的真题都做一遍,一周一套到两套,根据自己的时间决定,做真题的时候自己尽量多写,可以一边答题一边回顾知识点。
3.在做真题的同时要多读专业老师的相关论文,最好是当下热点,像海绵城市雨洪管理之类的是必读的,对于论文要了解它的核心观点之外,多学习论文的表达语言和逻辑关系,对于答题有帮助。
4.在 11 月之后,可以对于做过的真题进行总结了,比如景观里经常会考到的麦克哈格的理论、城规里经常会考到的城乡统筹等等问题的知识要点、回答方法进行总结,总结真题可以发现,历年考试的重点就是那么几个,只要把重点认识到位了就行了。
5.对于时事热点一定要关注,并且要了解热点跟北大老师的学术观点的联系,所以就要对书本知识和时事都要有自己的理解。
关于考试答题:
1.2019年专业考试内容是非常基础的,景观的名词释义很重要,一定要结合书和资料,把专业词汇的基本释义和延伸的内涵都记熟;城规也考了很大比重的知识点填空和名词解释,所以基础知识一定要掌握清楚、熟练。
2.对于知识的运用也很重要,简答题也都是围绕生态基础设施、景观安全格局等基础概念展开的,在答题时要注意逻辑清晰,紧扣题干,一定要分点答题,有总述、分述的结构,最好每一点有概括的小标题,最后有自己的清晰的观点表达。城规的简答题一定要发散思维、全面思考,结合经济社会人口历史文化信息技术等多方面因素来回答。
3.2019 年景观还考到关于残障人士使用景观的问题,需要结合李迪华老师之前的热点文章来回答,同时要具备一定的手绘表达能力,所以平时对于专业教授的文章动态要非常关注,要多积累。
4.最后,考试时间一科三小时,题量很大,尽量抓重点写,不要废话。
关于复试:
成绩出来之后大概一个月进行复试,复试内容其实也比较基础。专业交流部分,还是要对于老师的学术观点有深入了解,同时老师也希望你能提出一些批判性的观点,注意不要废话。
笔试部分,手绘不要求画得熟练,但是要有基础的比例尺、图名、指北等图例标注,做场地设计,要注意开拓思路,从场地的不同需求出发来进行设计笔试是25道逻辑题,画图是到室外测绘一片场地,画平面剖面和三张速写,总结对场地的感受和问题,回考场之后设计三个改造方案,画出平面,大致写一下设计理由,最后选一个方案深化,再画出平面剖面和效果图三张,一共十几张图吧,a4大小,画了两个半小时,时间很紧.
面试部分,口语是抽一个英语单词,然后马上要用英语讲一个故事,单词很简单,像book,friend之类的;专业交流是抽一个问题回答,我抽的是怎么想父母解释要来这个专业读研,回答之后老师会根据你的答案或者你的申请材料再随机问一些问题。
最后分享一下考研两要素吧(我自己觉得的),一个是心态,一个是调整。其次明确自己想要什么这很重要。总是到最后一才知道输赢,不管结果如何努力就是,加油吧!



















